2021最新中考动态

2021中考录取分数线

2021中考成绩查询、中考查分

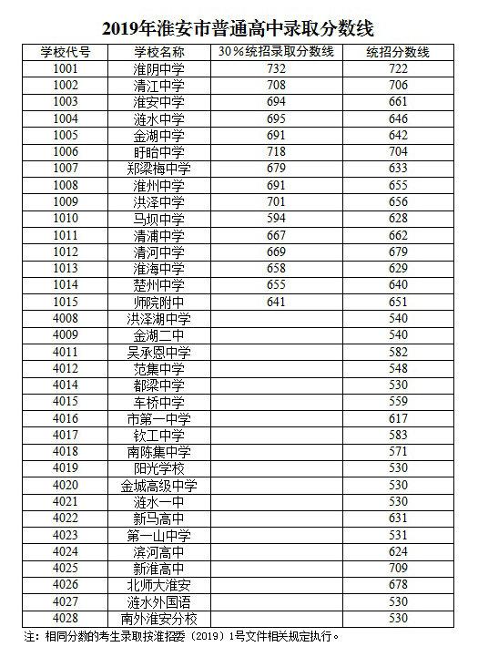
2019淮安中考录取分数线

作者:佚名 信息来源:不详 更新时间:2019-7-3 9:31:17

2019年江苏淮安中考普通高中录取最低控制线公布了,具体内容如下所示:

淮安市教育招生考试网公布:2019年淮安市中考“3+4”中职与本科分段培养项目录取最低控制线为610分,普通高中录取最低控制线为530分。

2019淮安中考录取分数线

无标题.jpg

2021年中考信息不断变化,www.91zhongkao.com 91中考网提供的中考成绩查询查分、录取分数线信息仅供参考,具体以相关招生考试部门的信息为准!