2021最新中考动态

2021中考录取分数线

2021中考成绩查询、中考查分

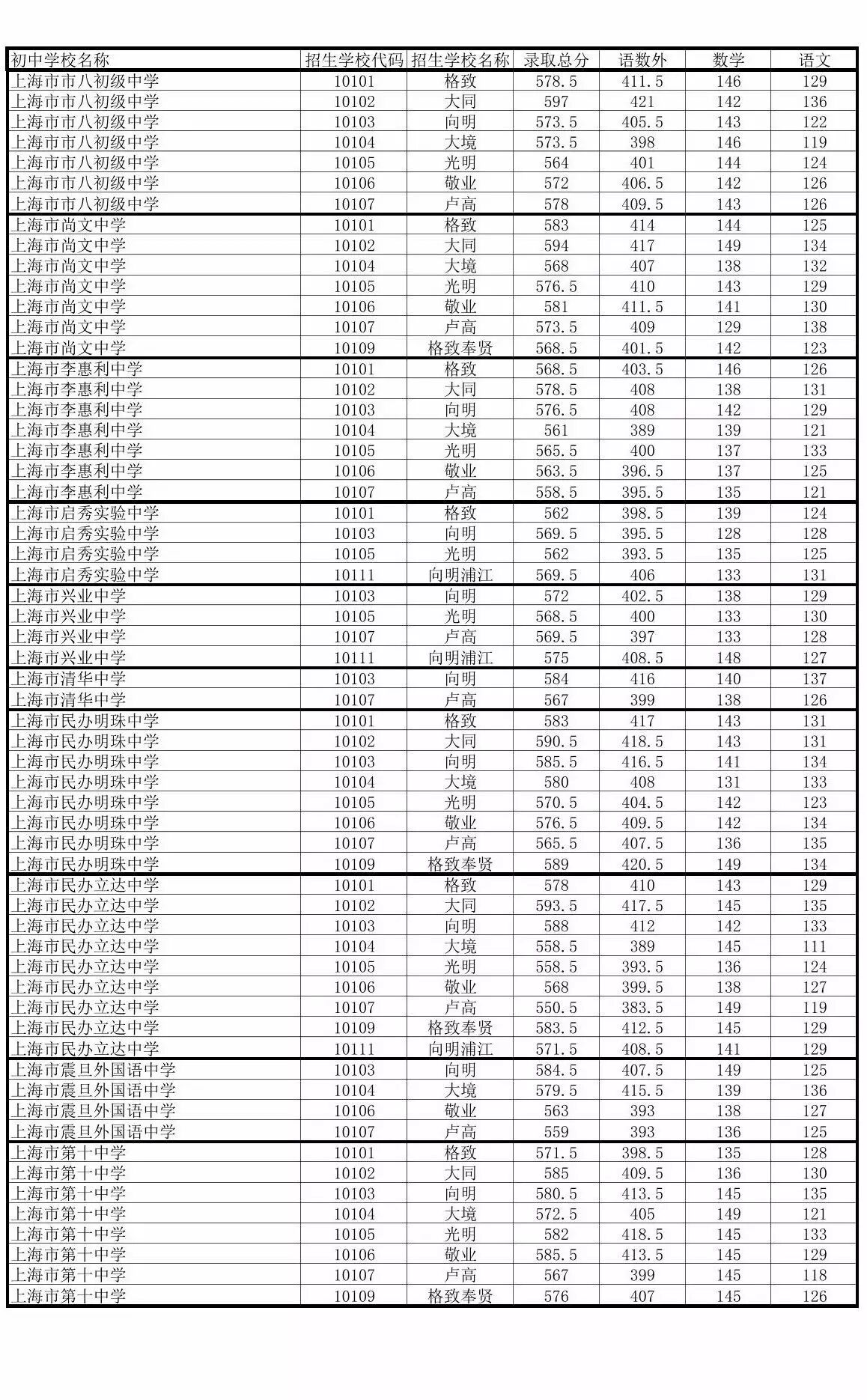
2017黄浦区中考零志愿、名额分配志愿投档分数线

作者:佚名 信息来源:教育考试院 更新时间:2017-7-14 7:54:33

2017黄浦中考零志愿投档分数线

2017黄浦中考零志愿、名额分配志愿投档分数线
 

2021年中考信息不断变化,www.91zhongkao.com 91中考网提供的中考成绩查询查分、录取分数线信息仅供参考,具体以相关招生考试部门的信息为准!